Os manuscritos submetidos na Revista Virtual de Química (RVq) adotam a implementação total do sistema open access, onde os autores contribuem com parte dos custos da Publicação de seus artigos. Ver mais...
Fernanda Galvão
, Maria Lurdes Felsner
Romário Jonas de Oliveira; Bruna Martins Guimarães; Rayane de Oliveira Silva; Luiz Eduardo Gomes de Holanda; Clécio Souza Ramos; Juliano Carlo Rufino Freitas
; João Rufino de Freitas Filho
Raquel Reis Duarte, Juliana de Fátima Giarola, Daniela Nunes da Silva, Adelir Aparecida Saczk, César Ricardo Teixeira Tarley, Emerson Schwingel Ribeiro, Arnaldo César Pereira
Total access: 1942
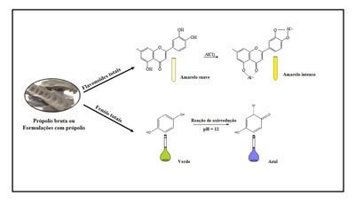
Maria Cristina Marcucci, Antônio Salatino, Laís Farias Azevedo de Magalhães Oliveira, Carolina Passarelli Gonçalves
Paula do N. Goulart, Lucas Caruso, Nathália F. Nadur, Daiana P. Franco, Arthur E. Kümmerle
, Renata B. Lacerda
Lígia R. de Oliveira
, Ademar D. V. Máquina, Baltazar V. Sitoe, Lucas G. da Costa, Raiana R. Seixas, Douglas Q. Santos
Eder L. e Silva, Laysa L. P. F. Moreira, Weverson C. Cardoso, Rodrigo R. Kitagawa, Keyller B. Borges, Paulo C. Vieira, Pedro A. B. Morais, Warley de S. Borges
Josimara Souza Andrade, Leonardo Gomes de Abreu, Policarpo Ademar Sales Junior, Silvane Maria Fonseca Murta, Jason Guy Taylor
Sidney Silva Simplicio, Victória L. dos Anjos Santos
, Wesley R. Alcantara Campos, Délis Galvão Guimarães, Arlan de Assis Gonsalves
, Cleônia Roberta M. Araújo
Rachelle Etienne, Flávia Pereira Dias Viegas, Claudio Viegas Jr.
Emilene de C. Lourenço, Salete de Paula, Grazielle de O. Setti, Aline T. Toci
, Janine C. Padilha
, Eleandro M. da Silva, Marcela Boroski
Iasmim L. Silva
, Celso A. Camara
José Marcos Nobre de Mora Junior, Charles Alberto Brito Negrão, Ronaldo Magno Rocha, Ewerton Carvalho de Souza, Antonio dos Santos Silva
João P. de J. Pereira
, Caroline de S. Moura, Cláudia Ayres, Leila M. Stávale
Bruna Ezequielle Bernardes Costa, Rosenira Serpa da Cruz, Fernando Cesário Rangel, Simoni Margareti Plentz Meneghetti 
Giselle Barbosa Bezerra, Clécio Souza Ramos
Danielle Dias Neves, Mônica Freire Belian
, Wagner Eduardo da Silva, Eudice Correia Vilela
Priscilla A. Silva, Luana da S. Pinheiro, Rodrigo C. Silva, João Paixão dos S. Neto, Fábio Israel. M. Carvalho
Editoria da RVq - Editoria da RVq - PubliSBQ
Instituto de Química, Universidade Federal Fluminense,
Campus do Valonguinho, 24020-141, Centro, Niterói-RJ, Brasil
E-mail: rvq@sbq.org.br